반응형
[BFS]
- 너비 우선 탐색
- 즉, 가까운 노드부터 탐색하는 알고리즘.
- BFS는 구현시 큐(선입선출) 자료구조를 이용하는 것이 정석. 인접한 노드를 반복적으로 큐에 넣도록 알고리즘을 작성하면 자연스럽게 먼저 들어온 것이 먼저 나가게 되어 가까운 노드부터 탐색을 진행하게 됨.
[동작방식]
- 탐색 시작 노들를 큐에 삽입하고 방문 처리를 한다.
- 큐에서 노드를 꺼내 해당 노드의 인접 노드 중에서 방문하지 않은 노드를 모두 큐에 삽입하고 방문 처리를 한다.
- 2번의 과정을 더 이상 수행할 수 없을 때까지 반복한다.

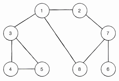
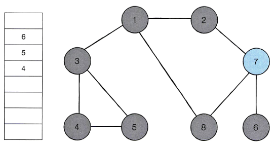
- step 1) 시작 노드인 '1'을 큐에 삽입하고 방문 처리를 한다. 방문 처리된 노드는 회색으로, 큐에서 꺼내 현재 처리하는 노드는 하늘색으로 표현했다.

- step2) 큐에서 노드 '1'을 꺼내고 방문하지 않은 인접 노드 '2', '3', '8'을 모두 큐에 삽입하고 방문 처리를 한다.

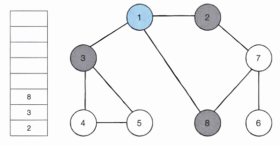
- step3) 큐에서 노드 '2'를 꺼내고 방문하지 않은 인접 노드 '7'을 큐에 삽입하고 방문 처리를 한다.

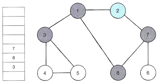
- step4) 큐에서 노드 '3'을 꺼내고 방문하지 않은 인접 노드 '4'와 '5'를 모두 큐에 삽입하고 방문 처리를 한다.

- step5) 큐에서 노드 '8'을 꺼내고 방문하지 않은 인접 노드가 없으므로 무시한다.

- step6) 큐에서 노드 '7'을 꺼내고 방문하지 않은 인접 노드 '6'을 큐에 삽입하고 방문 처리를 한다.

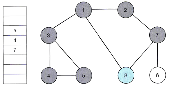
- step7) 남아 있는 노드에 방문하지 않은 인접 노드가 없다. 따라서 모든 노드를 차례대로 꺼내면 최종적으로 다음과 같다.

- 최종적으로 노드의 탐색 순서(큐에 들어간 순서)는 다음과 같다.
- 1 - 2 - 3 - 8 - 7 - 4 - 5 - 6
[BFS 소스코드]
from collections import deque
# BFS 메서드 정의
def bfs(graph, start, visited):
# 큐(Queue) 구현을 위해 deque
queue = deque([start])
#현재 노드를 방문 처리
visited[start] = True
#큐가 빌 때 까지 반복
while queue:
#큐에서 하나의 원소를 뽑아 출력
v = queue.popleft()
print(v, end=' ')
#해당 원소와 연결된, 아직 방문하지 않은 원소들 큐에 삽입
for i in graph[v]:
if not visited[i]:
queue.append(i)
visited[i] = True
graph = [
[],
[2, 3, 8],
[1, 7],
[1, 4, 5],
[3, 5],
[3, 4],
[7],
[2, 6, 8],
[1, 7]
]
# 각 노드가 방문된 정보를 리스트 자료형으로 표현(1차원 리스트)
visited = [False] * 9
# 정의된 BFS 함수 호출
bfs(graph, 1, visited)
[DFS와 BFS의 비교]

반응형
'알고리즘 Study > 이코테' 카테고리의 다른 글
| [05DFS/BFS] 실전문제-미로탈출 (p152~p154) (0) | 2025.11.18 |
|---|---|
| [05DFS/BFS] 실전 문제-음료수 얼려 먹기 (p149~p151) (0) | 2025.11.17 |
| [05DFS/BFS] 5-6 DFS (p134~p143) (0) | 2025.11.14 |
| [05DFS/BFS] 5-3 재귀함수 (p130~p133) (0) | 2025.11.14 |
| [05DFS/BFS] 5-2 큐 (p127~p129) (0) | 2025.11.14 |