반응형
[DFS]
- 깊이우선 탐색이라고 부르며, 그래프에서 깊은 부분을 우선적으로 탐색하는 알고리즘.

[그래프]
- 그래프는 노도(Node)와 간선(Edge)로 표현되며, 이때 노드를 정점(Vertex)라고도 함.
- 그래프 탐색이란, 하나의 노드를 시작으로 다수의 노드를 방문하는 것을 말한다.
- 두 노드가 간선으로 연결되어 있다면, '두 노드는 인접하다(Adjacent)'라고 표현
[인접 행렬 예제]
- 인접 행렬(Adjacency Matrix) 방식은 2차원 배열에 각 노드가 연결된 형태를 기록하는 방식.
- 연결이 되어있지 않은 노드끼리는 무한(Infinity)의 비용으로 봄.

INF = 999999999
# 2차원 리스트를 이용해 인접 행렬 표현
graph = [
[0, 7, 5],
[7, 0, INF],
[5, INF, 0]
]
print(graph)
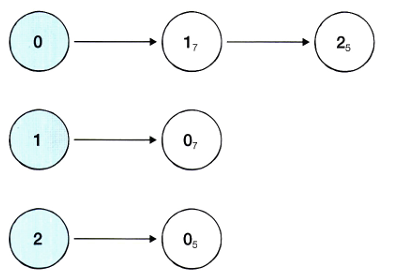
[인접 리스트 예제]
- 모든 노드에 연결된 노드에 대한 정보를 차례대로 연결하여 저장.
- 인접 리스트는 '연결 리스트'라는 자료구조 이용.

#행(Row)이 3개인 2차원 리스트로 인접 리스트 표현
graph = [[] for _ in range(3)]
#노드 0에 연결된 노드 정보 저장(노드, 거리)
graph[0].append((1, 7))
graph[0].append((2, 5))
#노드 1에 연결된 노드 정보 저장(노드, 거리)
graph[1].append((0, 7))
#노드 2에 연결된 노드 정보 저장(노드, 거리)
graph[2].append((0, 5))
print(graph)
[인접 행렬 Vs 인접 리스트]
- 인접 행렬: 모든 관계를 저장하므로 노드 개수가 많을 수록 메모리가 불필요하게 낭비.
- 인접 리스트: 연결된 정보만을 저장하기 때문에 메모리를 효율적으로 사용.
- 인접 리스트 방식은 연결된 데이터를 하나씩 확인해야하기 떄문에 특정한 두 노드가 연결되어 있는지에 대한 정보를 얻는 속도가 느림.
[DFS의 동작 과정]
- 탐색 시작 노드를 스택에 삽입하고 방문 처리를 한다.
- 스택의 최상단 노드에 방문하지 않은 인접 노드가 있으면 그 인접 노드를 스택에 넣고 방문 처리를 한다. 방문하지 않은 인접 노다가 없으면 스택에서 최상단 노드를 꺼낸다.
- 2번의 과정을 더 이상 수행할 수 없을 때까지 반복한다.
- cf) '방문 처리'는 스택에 한번 삽입되어 처리된 노드가 다시 삽입되지 않게 체크하는 것을 의미함. 각 노드를 한 번씩만 처리하기 위함.
[DFS의 탐색과정 시각화]

- 인접한 노드 중 방문하지 않은 노드가 여러 개 있으면 번호가 낮은 순서부터 처리한다.





- 노드의 탐색 순서(스택에 들어간 순서): 1 - 2 - 7 - 6 - 8 - 3 - 4 - 5
[DFS 소스코드]
#DFS 메서드 정의
def dfs(graph, v, visited):
#현재 노드를 방문 처리
visited[v] = True
print(v, end=' ')
#현재 노드와 연결된 다른 노드를 재귀적으로 방문
for i in graph[v]:
if not visited[i]:
dfs(graph, i, visited)
#각 노드가 연결된 정보를 리스트 자료형으로 표현(2차원 리스트)
graph = [
[],
[2, 3, 8],
[1, 7],
[1, 4, 5],
[3, 5],
[3, 4],
[7],
[2, 6, 8],
[1, 7]
]
#각 노드가 방문된 정보를 리스트 자료형으로 표현(1차원 리스트)
visited = [False] * 9
#정의된 DFS 함수 호출
dfs(graph, 1, visited)
반응형
'알고리즘 Study > 이코테' 카테고리의 다른 글
| [05DFS/BFS] 실전 문제-음료수 얼려 먹기 (p149~p151) (0) | 2025.11.17 |
|---|---|
| [05DFS/BFS] 5-7 BFS (p143~p148) (0) | 2025.11.17 |
| [05DFS/BFS] 5-3 재귀함수 (p130~p133) (0) | 2025.11.14 |
| [05DFS/BFS] 5-2 큐 (p127~p129) (0) | 2025.11.14 |
| [05DFS/BFS] 5-1 스택 (p125~p126) (0) | 2025.11.13 |